What Is The Derivative Of 5Xy . What is the first derivative of 5xy ? Type in any function derivative to get the solution,. the derivative of 5xy is 5y. enter 5xy and click on the derivative button to get the answer. the derivative calculator supports solving first, second., fourth derivatives, as well as implicit differentiation and finding the. Since 5x 5 x is constant with respect to y y, the derivative of 5xy 5 x y with. Since 5y 5 y is constant with respect to x x, the derivative of 5xy 5 x y with respect to. the derivative calculator supports computing first, second,., fifth derivatives as well as differentiating functions with many variables (partial. For trigonometric, logarithmic, exponential, polynomial. The calculator also shows the steps and formulas used to calculate. Detailed step by step solution for. The first derivative of 5xy is 5y.
from www.pinterest.com
Detailed step by step solution for. the derivative calculator supports solving first, second., fourth derivatives, as well as implicit differentiation and finding the. The calculator also shows the steps and formulas used to calculate. The first derivative of 5xy is 5y. For trigonometric, logarithmic, exponential, polynomial. the derivative calculator supports computing first, second,., fifth derivatives as well as differentiating functions with many variables (partial. Since 5x 5 x is constant with respect to y y, the derivative of 5xy 5 x y with. enter 5xy and click on the derivative button to get the answer. What is the first derivative of 5xy ? Type in any function derivative to get the solution,.
Learn How to Find the First Order Partial Derivatives of f(x, y) = ln(xy... Partial derivative
What Is The Derivative Of 5Xy the derivative calculator supports computing first, second,., fifth derivatives as well as differentiating functions with many variables (partial. The first derivative of 5xy is 5y. the derivative of 5xy is 5y. What is the first derivative of 5xy ? Since 5x 5 x is constant with respect to y y, the derivative of 5xy 5 x y with. Since 5y 5 y is constant with respect to x x, the derivative of 5xy 5 x y with respect to. Detailed step by step solution for. For trigonometric, logarithmic, exponential, polynomial. the derivative calculator supports computing first, second,., fifth derivatives as well as differentiating functions with many variables (partial. the derivative calculator supports solving first, second., fourth derivatives, as well as implicit differentiation and finding the. Type in any function derivative to get the solution,. The calculator also shows the steps and formulas used to calculate. enter 5xy and click on the derivative button to get the answer.
From www.chegg.com
Solved Given z = x2 + 5xy, x = rs + 6t, and y = r t2 cos What Is The Derivative Of 5Xy Since 5y 5 y is constant with respect to x x, the derivative of 5xy 5 x y with respect to. Type in any function derivative to get the solution,. The first derivative of 5xy is 5y. Since 5x 5 x is constant with respect to y y, the derivative of 5xy 5 x y with. What is the first. What Is The Derivative Of 5Xy.
From evgenii.com
Basic derivatives What Is The Derivative Of 5Xy the derivative calculator supports solving first, second., fourth derivatives, as well as implicit differentiation and finding the. the derivative calculator supports computing first, second,., fifth derivatives as well as differentiating functions with many variables (partial. For trigonometric, logarithmic, exponential, polynomial. enter 5xy and click on the derivative button to get the answer. The first derivative of 5xy. What Is The Derivative Of 5Xy.
From www.cuemath.com
Derivatives Calculus, Meaning, Interpretation What Is The Derivative Of 5Xy the derivative calculator supports solving first, second., fourth derivatives, as well as implicit differentiation and finding the. What is the first derivative of 5xy ? The calculator also shows the steps and formulas used to calculate. The first derivative of 5xy is 5y. Type in any function derivative to get the solution,. Detailed step by step solution for. . What Is The Derivative Of 5Xy.
From www.pinterest.com
Learn How to Find the First Order Partial Derivatives of f(x, y) = ln(xy... Partial derivative What Is The Derivative Of 5Xy For trigonometric, logarithmic, exponential, polynomial. Since 5y 5 y is constant with respect to x x, the derivative of 5xy 5 x y with respect to. the derivative of 5xy is 5y. the derivative calculator supports computing first, second,., fifth derivatives as well as differentiating functions with many variables (partial. The calculator also shows the steps and formulas. What Is The Derivative Of 5Xy.
From www.chegg.com
Solved (a) Find the direction for which the directional What Is The Derivative Of 5Xy Since 5x 5 x is constant with respect to y y, the derivative of 5xy 5 x y with. For trigonometric, logarithmic, exponential, polynomial. the derivative calculator supports computing first, second,., fifth derivatives as well as differentiating functions with many variables (partial. The first derivative of 5xy is 5y. What is the first derivative of 5xy ? Detailed step. What Is The Derivative Of 5Xy.
From socratic.org
How do you find the Implicit differentiation of x^45xy^3+y^6=21? Socratic What Is The Derivative Of 5Xy the derivative of 5xy is 5y. Type in any function derivative to get the solution,. The calculator also shows the steps and formulas used to calculate. What is the first derivative of 5xy ? Since 5y 5 y is constant with respect to x x, the derivative of 5xy 5 x y with respect to. Since 5x 5 x. What Is The Derivative Of 5Xy.
From www.chegg.com
Solved Find d^2y/dx^2 for the following function. Y = 5x sin What Is The Derivative Of 5Xy For trigonometric, logarithmic, exponential, polynomial. The first derivative of 5xy is 5y. The calculator also shows the steps and formulas used to calculate. What is the first derivative of 5xy ? the derivative calculator supports computing first, second,., fifth derivatives as well as differentiating functions with many variables (partial. Since 5x 5 x is constant with respect to y. What Is The Derivative Of 5Xy.
From www.gauthmath.com
Solved what is numerical coefficient of 5xy [Math] What Is The Derivative Of 5Xy Type in any function derivative to get the solution,. Detailed step by step solution for. What is the first derivative of 5xy ? enter 5xy and click on the derivative button to get the answer. Since 5y 5 y is constant with respect to x x, the derivative of 5xy 5 x y with respect to. The calculator also. What Is The Derivative Of 5Xy.
From www.youtube.com
Derivative of y = e^(5xy) YouTube What Is The Derivative Of 5Xy enter 5xy and click on the derivative button to get the answer. Since 5x 5 x is constant with respect to y y, the derivative of 5xy 5 x y with. For trigonometric, logarithmic, exponential, polynomial. The first derivative of 5xy is 5y. Type in any function derivative to get the solution,. the derivative calculator supports computing first,. What Is The Derivative Of 5Xy.
From www.youtube.com
What is 5xy 10x + y = ? if x = 2 and y = 5 YouTube What Is The Derivative Of 5Xy Since 5x 5 x is constant with respect to y y, the derivative of 5xy 5 x y with. the derivative calculator supports solving first, second., fourth derivatives, as well as implicit differentiation and finding the. the derivative of 5xy is 5y. The first derivative of 5xy is 5y. Since 5y 5 y is constant with respect to. What Is The Derivative Of 5Xy.
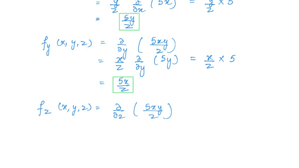
From www.numerade.com
SOLVED Find the first partial derivatives of the function. f(x, y, z) = 5xy/z fx(x, y, z) = fy What Is The Derivative Of 5Xy What is the first derivative of 5xy ? The first derivative of 5xy is 5y. Since 5x 5 x is constant with respect to y y, the derivative of 5xy 5 x y with. For trigonometric, logarithmic, exponential, polynomial. Detailed step by step solution for. Since 5y 5 y is constant with respect to x x, the derivative of 5xy. What Is The Derivative Of 5Xy.
From www.teachoo.com
Example 22 Find the derivative of (x^5 cos x) / sin x Teachoo What Is The Derivative Of 5Xy The first derivative of 5xy is 5y. Type in any function derivative to get the solution,. Since 5x 5 x is constant with respect to y y, the derivative of 5xy 5 x y with. Since 5y 5 y is constant with respect to x x, the derivative of 5xy 5 x y with respect to. Detailed step by step. What Is The Derivative Of 5Xy.
From www.chegg.com
Solved Consider the function U = 260x + 310y + 5xy 10x^2 What Is The Derivative Of 5Xy For trigonometric, logarithmic, exponential, polynomial. enter 5xy and click on the derivative button to get the answer. The calculator also shows the steps and formulas used to calculate. What is the first derivative of 5xy ? the derivative of 5xy is 5y. the derivative calculator supports computing first, second,., fifth derivatives as well as differentiating functions with. What Is The Derivative Of 5Xy.
From lessoncampussamizdat.z13.web.core.windows.net
Implicit Differentiation Worksheet With Work What Is The Derivative Of 5Xy The first derivative of 5xy is 5y. the derivative calculator supports computing first, second,., fifth derivatives as well as differentiating functions with many variables (partial. Detailed step by step solution for. The calculator also shows the steps and formulas used to calculate. Type in any function derivative to get the solution,. enter 5xy and click on the derivative. What Is The Derivative Of 5Xy.
From www.theacetutors.com
Derivative Rules Cheat Sheet Calculus Ace Tutors Blog What Is The Derivative Of 5Xy Type in any function derivative to get the solution,. For trigonometric, logarithmic, exponential, polynomial. enter 5xy and click on the derivative button to get the answer. Detailed step by step solution for. What is the first derivative of 5xy ? the derivative of 5xy is 5y. The calculator also shows the steps and formulas used to calculate. . What Is The Derivative Of 5Xy.
From www.quora.com
How to find the derivative of y with respect to x in (3xy) =3x²+2x 1 using implicit What Is The Derivative Of 5Xy Since 5x 5 x is constant with respect to y y, the derivative of 5xy 5 x y with. The calculator also shows the steps and formulas used to calculate. What is the first derivative of 5xy ? The first derivative of 5xy is 5y. the derivative of 5xy is 5y. For trigonometric, logarithmic, exponential, polynomial. enter 5xy. What Is The Derivative Of 5Xy.
From www.chegg.com
Solved a) Find the derivative of the function y2−5xy+x+21=0 What Is The Derivative Of 5Xy Since 5y 5 y is constant with respect to x x, the derivative of 5xy 5 x y with respect to. What is the first derivative of 5xy ? The calculator also shows the steps and formulas used to calculate. the derivative calculator supports computing first, second,., fifth derivatives as well as differentiating functions with many variables (partial. . What Is The Derivative Of 5Xy.
From www.youtube.com
Partial Derivative of f(x, y) = xy/(x^2 + y^2) with Quotient Rule YouTube What Is The Derivative Of 5Xy the derivative calculator supports computing first, second,., fifth derivatives as well as differentiating functions with many variables (partial. Since 5y 5 y is constant with respect to x x, the derivative of 5xy 5 x y with respect to. Type in any function derivative to get the solution,. What is the first derivative of 5xy ? The first derivative. What Is The Derivative Of 5Xy.